NumPy 與環面(二)


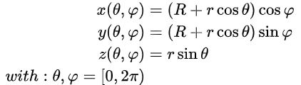
在〈NumPy 與環面(一)〉中最後的程式運算過程,其實就是環面的參數式,以維基百科〈Torus〉條目中的參數式為例:

NumPy 與環面(二)

若直接按照公式來寫程式,可以如下:

import numpy as np
import matplotlib.pyplot as plt

fn = 96
radius1 = 150
radius2 = 50

a_step = np.pi * 2 / fn
a = np.arange(0, np.pi * 2 + a_step, a_step)

THETA, PHI = np.meshgrid(a, a) 

cc = radius1 + radius2 * np.cos(PHI)
X = cc * np.cos(THETA)
Y = cc * np.sin(THETA)
Z = radius2 * np.sin(PHI)

ax = plt.axes(projection='3d')
ax.plot_surface(X, Y, Z) 
ax.set_xlabel('x')
ax.set_ylabel('y')
ax.set_zlabel('z')
ax.set_box_aspect((1, 1, radius2 / radius1)) 
plt.show()

類似地,只要能構成封閉曲面的公式,都能拿來建模,例如球面的參數式:

NumPy 與環面(二)

依照公式撰寫而出的程式:

import numpy as np
import matplotlib.pyplot as plt

fn = 96
radius = 150

a_step = np.pi * 2 / fn

THETA, PHI = np.meshgrid(
    np.arange(0, np.pi * 2 + a_step, a_step), 
    np.arange(0, np.pi + a_step, a_step)
) 

X = radius * np.sin(PHI) * np.cos(THETA)
Y = radius * np.sin(PHI) * np.sin(THETA)
Z = radius * np.cos(PHI)

ax = plt.axes(projection='3d')
ax.plot_surface(X, Y, Z) 
ax.set_xlabel('x')
ax.set_ylabel('y')
ax.set_zlabel('z')
plt.show()

可以畫出以下的圖案:

NumPy 與環面(二)

回頭看看環面的參數式,它的運算其實就是將一個圓面移至指定半徑處,然後繞 z 轉一圈,在撰寫程式時,為了得到 THETAPHI,借助了 np.meshgrid,如果不使用 np.meshgrid 也蠻有趣的,首先,可以先計算出 XZ 平面上的一個圓面,半徑為 radius2,然後移至指定半徑處,也就是將圓面的圓心置於 radius1

fn = 6
radius1 = 150
radius2 = 50    

n = fn + 1 # 頭尾要相接,因此加 1

# 旋轉的度數
phi = np.arange(n) * (np.pi * 2 / fn)

# XZ 平面上的一個圓
sx0 = radius2 * np.cos(phi) + radius1
sz0 = radius2 * np.sin(phi)

接下來要旋轉圓面,然而最後的結果要能餵給 Matplotlib,如果不使用 np.meshgrid 的話,可以自行建立相對應的維度,例如建立 THETA

THETA = np.repeat([phi], n, axis = 0).T

np.repeat 可以在指定值與軸來進行元素的複製,本來 np.repeat([phi], n, axis = 0) 的結果會是 [[phi], [phi], [phi], [phi], [phi], [phi]],這可以得到 PHI,然而需要的是 THETA 的部份,這正好是 PHI 的轉置,一個 NumPy 陣列只要接下 .T 就可以得到轉置結果。

為什麼不保留 np.repeat([phi], n, axis = 0) 指定給 PHI 呢?當然,你可以試著自行建立各個對應維度的陣列來進行運算,不過透過擴張計算會更為方便:

# sx0 與 THETA 維度不同,然而因為擴張的關係,X、Y 是二維陣列
X = sx0 * np.cos(THETA)
Y = sx0 * np.sin(THETA)
# Z 也是二維陣列
Z = np.repeat([sz0], n, axis = 0)

將這一切組合起來:

import numpy as np
import matplotlib.pyplot as plt

fn = 6
radius1 = 150
radius2 = 50    

n = fn + 1 # 頭尾要相接,因此加 1

# 旋轉的度數
phi = np.arange(n) * (np.pi * 2 / fn)

# XZ 平面上的一個圓
sx0 = radius2 * np.cos(phi) + radius1
sz0 = radius2 * np.sin(phi)

# 因為要交叉計算,用 .T 取得陣列轉置結果
THETA = np.repeat([phi], n, axis = 0).T

# sx0 與 THETA 維度不同,然而因為擴張的關係,X、Y 是二維陣列
X = sx0 * np.cos(THETA)
Y = sx0 * np.sin(THETA)
# Z 也是二維陣列
Z = np.repeat([sz0], n, axis = 0)

ax = plt.axes(projection='3d')
ax.plot_surface(X, Y, Z) 
ax.set_xlabel('x')
ax.set_ylabel('y')
ax.set_zlabel('z')
ax.set_box_aspect((1, 1, radius2 / radius1))
plt.show()

執行後畫出來的結果也是個環面,這示範了資料處理時,其實可以有多種做法,結合 NumPy 的話,還可以更為省事。